- Research
- Open access
- Published:
Enhancing L2 speaking proficiency through collaborative tasks in RILCA world: the case of East Asian learners
Asian-Pacific Journal of Second and Foreign Language Education volume 8, Article number: 37 (2023)
Abstract
The use of three-dimensional virtual worlds (3DVWs) in language education has been widely acknowledged in the field, and researchers have expressed a growing interest in their proliferation in second language (L2) learning and instruction. In order to improve the Thai-speaking abilities of learners of Thai as a foreign language (TFL) in three Asian nations, this study implemented collaborative tasks in the Redesign of Instruction for foreign Language and Communication Achievement (RILCA) World hosted by Second Life over a 10-weeks period. The participants were forty second-year undergraduate students enrolled in Thai courses in China, Japan, and Hong Kong. A pre-experimental design was employed, which involved administering a pretest measure, followed by ten identical collaborative tasks, and a posttest to each of the three classes in RILCA World. The results of the investigation demonstrate that the use of collaborative tasks in RILCA World can provide L2 learners with educational opportunities that are unrestricted by time and geography and enhance TFL speaking results. The implications of these findings for the applicability of 3DVWs and collaborative tasks in boosting foreign language speaking skills are highlighted. The collaborative tasks and insights presented in this study not only serve as a practical resource for TFL educational scenarios, but also contribute to the body of knowledge regarding a range of L2 learning and teaching in 3DVWs.
Introduction
Three-dimensional virtual worlds (henceforth referred to as 3DVWs) are computer-generated environments in which individuals can interact virtually with other avatars through avatars. In recent years, 3DVWs have gained widespread acceptance in the field of second language (L2) acquisition, with many studies utilising web-based virtual world platforms, such as Second Life (SL) (e.g., Canto & Ondarra, 2017; Chen & Kent, 2020; Jarmon et al., 2009; Lan et al., 2016, 2019), to explore their potential for language instruction. The various features of 3DVWs enable teachers to provide high-quality language instruction by supporting synchronous, multimodal communicative channels, such as audio, text chat, collaboration boards, and webcam video, and by creating learning spaces conceptually distinct from face-to-face (F2F) classrooms and web-conferencing environments (Kozlova & Priven, 2015). Within a 3DVW, learning is immersed in simulated real-life experiences by embodying language learners in a graphical form as an avatar, which enables them to communicate verbally or textually with other users through avatars without regard to spatial or temporal boundaries (Cooke-Plagwitz, 2008).
Researchers in this field of L2 acquisition concur that language acquisition in 3DVWs should be task-based (see Chen, 2016a, 2016b, 2018; Kozlova & Priven, 2015; Lan et al., 2016) and collaborative (Kozlova & Priven, 2015; Peterson, 2010; Varli, 2013). It is widely acknowledged among practitioners that L2 learning is most productive when students engage in group activities, discuss ideas with peers, and solve issues collaboratively. Using 3DVWs as collaborative learning environments mediated by technology (Ibanez et al., 2013), foreign language learners can communicate, meet native speakers of the target language, and engage in spontaneous, meaning-communicative, and social interactions while executing joint activities. The realistic nature of 3DVWs offers authentic learning environments that are difficult to replicate in physical classroom settings, and when combined with appropriate tasks, they encourage collaborative involvement (Canto & Ondarra, 2017; Cho & Lim, 2017). These characteristics make 3DVWs suitable platforms for collaborative learning and task-based language teaching (TBLT), which has the potential to enhance foreign language learners’ speaking abilities.
TBLT within 3DVWs facilitates increased peer-to-peer interactions, leading to improved language accuracy during meaning-centred language sessions. It extends the communicative approach (Scrivener, 2011) and has gained preference due to its emphasis on authentic and meaningful communication (Richards & Rogers, 2014). Learners are encouraged to employ the target language in assigned tasks without excessive concern for grammatical errors. The effectiveness of TBLT in enhancing speaking skills is supported by a substantial body of research (Canto et al., 2014; Castañeda, 2021; Chen, 2020; Hasnain & Halder, 2021; Namaziandost et al., 2019). Researchers further emphasise the task-based and collaborative nature of language acquisition in 3DVWs (Kozlova & Priven, 2015; Peterson, 2010; Varli, 2013). They highlight the productivity of group interactions, peer discussions, and collaborative problem-solving in language learning. In other words, TBLT in 3DVWs encourages learners to employ the target language within task-oriented contexts, minimising undue emphasis on grammatical correctness. A robust body of research (Canto & Ondarra, 2017; Cho & Lim, 2017) underscores the efficacy of TBLT in enhancing speaking within the domain of language acquisition. Consequently, the synergy between task-based approaches and the collaborative nature of 3DVWs is emphasised throughout the literature.
Despite the growing interest in using 3DVWs as promising venues for computer-assisted language learning (CALL), supported by various studies (Garrido-Iñigo & Rodríguez-Moreno, 2015; Jauregi et al., 2011; Lan, 2015; Lan & Liao, 2018; Livingstone et al., 2008; Milton et al., 2012; Wehner et al., 2011; Yamazaki, 2018), limited research has investigated the effectiveness of collaborative tasks performed in 3DVWs for the cultivation of foreign language speaking skills. As highlighted by Chen (2018), the use of 3DVWs as an instructional environment warrants further research in the field of L2 acquisition. In addition, there are relatively few studies that focus on the use of 3DVWs for language learning, specifically in regard to task-based interaction involving voice. To understand the potential benefits of 3DVWs, it is crucial to examine the characteristics of traditional Thai classroom practices. Traditional Thai classrooms often employ a teacher-centred approach, where the teacher plays a central role in delivering knowledge, and students mainly receive information passively (Phechtburi & Punkhoom, 2017; Sathiansukon, 2011). Furthermore, these classrooms often lack resources and materials for language learning, limiting students’ exposure to authentic language use and cultural contexts (Chotivachira, 2022; Plaengsorn, 2014). Consequently, students may have limited opportunities to practise the target language in authentic and meaningful contexts. Introducing 3DVWs as an instructional environment can potentially address these limitations by facilitating active engagement in collaborative tasks that promote participation, interaction, and authentic language use (Jauregi et al., 2011; Lan, 2015; Lan & Liao, 2018; Livingstone et al., 2008; Milton et al., 2012; Yamazaki, 2018).
This study aims to contribute to the existing research in this area by investigating the effectiveness of collaborative tasks performed in 3DVWs for the cultivation of Thai as a foreign language (TFL) speaking skills among Asian undergraduate students. Specifically, it seeks to explore the potential of 3DVWs as a platform for TBLT that utilises voice-based interactions. Through this study, valuable insights into the advantages of 3DVWs over traditional Thai classroom practices can be gained, providing language educators and researchers with valuable information on the integration of 3DVWs into language learning contexts.
Potential of 3DVWs for speaking development
Speaking in a second or foreign language is widely recognised as one of the most challenging aspects of language acquisition. As an essential component of interpersonal communication, comprehensive and holistic instruction of speaking is paramount for L2 students, considering all relevant aspects, contexts, and components. Given the critical role of speaking in L2 acquisition, prioritising speaking instruction in practical L2 instruction is crucial. Recent research on 3DVWs and speaking tends to support the perspective of those who are optimistic about the potential of technology to enhance speaking abilities. These findings contribute to the growing belief that integrating technology, particularly 3DVWs, into language instruction can be advantageous for fostering speaking skills and addressing the challenges typically associated with speaking in a second or foreign language.
3DVWs offer a unique environment that meets several critical conditions for speaking development. First, they enable authentic task-based language learning, focusing on real-world scenarios, experiential learning, and collaborative engagement, in line with the essential conditions for language acquisition as suggested by Doughty and Long (2003). Learners are fully immersed in a virtual realm that provides opportunities for authentic task-based language learning, enabling them to participate in activities that closely mirror real-life situations and encouraging practical application and hands-on experiences. Second, 3DVWs provide opportunities for exposure to rich language and communicative practice, which are essential for developing oral skills (Canto & Ondarra, 2017; Coleman, 2002). Third, 3DVWs provide a context for creating simulated real-world tasks related to learners’ interests and cultural backgrounds, which promote grammatical complexity and linguistic accuracy in foreign language learners (Chen, 2020).
The positive results of 3DVWs for speaking development are supported by research findings. Lan et al. (2016) found that TBLT in 3DVWs improved Chinese L2 beginners’ oral communicative accuracy and motivation for studying Mandarin Chinese. Canto and Ondarra (2017) noted that task-based 3DVW interactions have a positive effect on learners’ oral skills due to the exposure to rich language and communicative practice similar to real-world scenarios (Coleman, 2002). Similarly, Chen (2020) showed that when students were given the opportunity to perform real-world simulated tasks related to their home cultures and interests, their English as a foreign language learners demonstrated statistically significant improvement in grammatical complexity and linguistic accuracy across all measured levels.
As Doughty and Long (2003) emphasised, the communicative tasks in TBLT, such as authentic tasks, learning by doing, rich input, inductive learning, collaboration, and individualised instruction, are suitable for implementation in a virtual learning environment. Therefore, it can be concluded that tasks directed towards the actual world and targeting learners' cultural repertoires and world knowledge have a favourable impact on their CALL experiences, particularly in 3DVWs.
Collaborative tasks in 3DVWs
In recent years, there has been a substantial amount of research focused on the use of 3DVWs for educational purposes (Ghanbarzadeh & Ghapanchi, 2021; Kruk, 2021) and specifically for language acquisition (Chen, 2020; Melchor-Couto, 2018). These immersive environments typically incorporate voice- and text-based features, allowing geographically dispersed users to communicate with one another. 3DVWs, which have been identified as suitable contexts for ‘immersion in linguistic, cultural, and task-based settings’ (Thorne, 2007: 147), provide learners with opportunities to engage in telecollaboration activities, complete a range of tasks, and engage in gaming with others. Previous research has observed the synergistic relationship between TBLT and the unique features of 3DVWs for facilitating L2 acquisition has been observed in L2 contexts.
However, within the context of Thai as a foreign language teaching, it is crucial to acknowledge the current dearth of research specifically integrating TBLT and CALL. Hence, there is a pressing need to investigate the effectiveness of integrating TBLT and CALL in Thai language classrooms, considering task principles such as interaction, collaboration (Doughty & Long, 2003; Ortega & González-Lloret, 2015), and the exploration of the functional capabilities of virtual worlds (Jauregi et al., 2011). Despite this gap, previous earlier international scholars have laid the groundwork by exploring the use of 3DVWs for collaborative tasks that encourage learners to use the target language spontaneously in unscripted situations (Ellis, 2000).
The use of 3DVWs in language learning can provide students with unique opportunities for input and output through a variety of tasks (Gerhard et al., 2004). The use of avatars and other features unique to 3DVWs may contribute to L2 learning and interaction. Additionally, 3DVWs can provide more authentic task environments than the classroom, even for highly structured types of tasks. For example, students can be asked to find information about real-world locations such as restaurants, cafes, and cities, and can then teleport to these locations in the virtual world to find the necessary information (Jee, 2014). Collaborative tasks in 3DVWs can be especially effective for language learning. Studies have shown that self-efficacy ratings of language learners can increase after participating in collaborative tasks (Henderson et al., 2009). Furthermore, research by Peterson (2010) demonstrated that students engaged in three different collaborative tasks exhibited highly learner-centred interaction and utilised transactional and interactional tactics for effective collaboration. These results suggest that students can transfer their F2F communication strategies to 3DVWs. In a second study, Peterson (2012) observed that students engaged in collaborative interaction through peer-scaffolding for lexis and corrections, and frequently utilised positive politeness to foster a supportive environment. These findings suggest that 3DVWs can foster conversational patterns similar to those found in F2F spoken communication. Taken together, these studies support the notion that 3DVWs offer a unique and effective platform for language learning through collaborative tasks. Such tasks can promote interaction, the transfer of communication strategies, and the development of positive group dynamics.
In questionnaire-based empirical evaluations of the effectiveness of virtual worlds, Hislope (2008) indicated perceived benefits of using SL. Students believed that SL afforded them more opportunities for conversation and cultural encounters than the regular classroom. Similarly, in the study by Kuriscak and Luke (2009), students who engaged in dialogues with native speakers were more convinced that computers could facilitate the process of L2 acquisition. According to their research, aspects of 3DVWs, such as the ability to engage in collaborative tasks with peers, have a favourable effect on L2 acquisition.
While some tasks may be possible in a physical classroom, 3DVWs provide additional opportunities for learners to engage with the material in new and innovative ways, making the learning experience more immersive, engaging, and effective. The evidence indicates that 3DVWs have a positive impact on speaking proficiency, particularly when used in a TBLT approach. For example, studies by Lan et al. (2016) and Canto and Ondarra (2017) found that TBLT in 3DVWs improved oral communicative accuracy and motivation among L2 learners. TBLT is an instructional approach that centres around real-world tasks as the core unit of instruction, emphasising active learner engagement in meaningful and purposeful tasks requiring language use to achieve specific goals or objectives. TBLT shifts the focus from explicit language instruction to language use in authentic contexts, providing learners with opportunities to develop their language skills through practical application.
By capitalising on the unique features of virtual environments, TBLT implemented through 3DVWs harnesses collaborative tasks to promote language development and enhance speaking proficiency. Theoretical underpinnings suggest that collaborative tasks can enhance the effectiveness of 3DVWs for speaking development due to several reasons. Firstly, collaborative tasks in 3DVWs provide opportunities for learners to engage in social interaction, which is an essential aspect of language learning (Swain, 1995). By collaborating with peers, learners have the opportunity to negotiate meaning, develop their linguistic accuracy, and engage in authentic communication (Dörnyei, 2010). Secondly, collaborative tasks in 3DVWs can promote language use in real-world contexts. By engaging in tasks that simulate real-life situations, learners can practise using language in contexts that are relevant to their lives, promoting their motivation to learn and use the language (Kern, 2000). Thirdly, collaborative tasks in 3DVWs can provide a safe environment for learners to take risks and experiment with the language. As Vygotsky (1978) noted, learning occurs when learners engage in activities that are slightly beyond their current level of competence. Collaborative tasks in 3DVWs can provide opportunities for learners to take risks, experiment with the language, and receive immediate feedback from their peers, promoting their language development (Lantolf & Thorne, 2006).
Research questions
The investigation was motivated by the following research questions:
-
RQ1 What is the impact of using collaborative tasks on 3DVWs towards L2 learners’ Thai-speaking proficiency?
-
RQ2 Do collaborative tasks in RILCA World contribute to the development of Thai-speaking abilities among L2 learners?
Research methods
The study employed a pre-experimental three-group pretest–posttest design, following the methodology outlined by Creswell and Creswell (2018). The pretests, tasks performed in the 3DVWs, and posttests were standardised across all three groups. These groups were as follows: Group A consisted of university students from China, Group B comprised university students from Japan, and Group C included university students from Hong Kong. Throughout the duration of the study, students in each group received identical tasks, as described in detail in Section “Collaborative task”, and were actively encouraged to engage in collaborative activities with their classmates to practise speaking within the same timeframe. The treatment period lasted for 10 weeks, as depicted in Table 1. Following the completion of a task, participants’ speech products were evaluated using a scoring rubric presented in Appendix 2 as a formative assessment. This evaluation aimed to assist participants in identifying areas for improvement and further enhancing their performance in subsequent tasks.
Participants
The current investigation recruited a cohort of 40 university students majoring in Thai (11 males and 29 females), aged between 19 and 21, and non-native speakers of Thai. The participants were selected using cluster sampling from intermediate-level L2 Thai classes taught by the fourth and fifth authors at three distinct universities: one in China (n = 18 for Group A), one in Japan (n = 12 for Group B), and one in Hong Kong (n = 10 for Group C). The recruitment took place during the COIVD-19 lockdown period. Although the sample size may present potential challenges, prior research in the field (e.g., Canto & Ondarra, 2017; Chen, 2016b, 2018; Chen & Kent, 2020; Lan & Liao, 2018) have indicated that 3DVW classes typically involve an average of 10 and 41 participants, with group sizes ranging from 12 to 15 participants in studies employing random assignment to groups (Canto & Ondarra, 2017; Lan et al., 2016; Xie et al., 2021). The recruited participants, who were divided into three groups based on their respective institutions, had no prior experience with the specific 3DVW platform, RILCA World, used in this study. The rationale behind recruiting participants from China, Japan, and Hong Kong was to ensure a diverse sample and to explore the efficacy of employing a 3DVW in language learning across diverse cultural and linguistic backgrounds.
A pre-experimental design was employed, in which students were paired or placed in small groups each week to complete collaborative tasks for two to three hours. The collaborative tasks were conducted withing the virtual world platform called Second Life (https://secondlife.com), specifically in the RILCA World located on Zinc Island, using a researcher-provided URL (http://maps.secondlife.com/secondlife/Zinc/83/203/80). SL is a three-dimensional virtual environment that allows users to interact with each other and the virtual surroundings through customisable avatars. By utilising SL as a platform for the RILCA World, it aimed to gain insights into the impact of using collaborative tasks within 3DVWs on the Thai-speaking proficiency of L2 learners. Furthermore, it sought to investigate whether collaborative tasks in the RILCA World have a similar effect on Thai-speaking abilities across three groups of East Asian learners.
Both the participants and instructors possessed computer proficiency, regularly using computers for personal, professional, and academic purposes. In the context of SL, basic functions such as ‘permission to move, copy, edit’, ‘give item’, ‘chat’, ‘IM’ (instant messaging), and others were deemed acceptable for communication and collaborative activities. While the participants and instructors did not have prior experience specifically with teaching and learning in 3DVWs, the instructors had previous experience teaching L2 courses in synchronous multimodal web-conferencing environments. To ensure familiarity with the RILCA World in SL, all participants attended an introductory session conducted by the first author during the first week of the trial. Additionally, they received a RILCA World guidebook to facilitate further exploration of the virtual world independently.
RILCA world
The present study aims to evaluate the effectiveness of the virtual world, ‘RILCA World,’ in fostering foreign language acquisition for Asian learners of Thai as their L2. RILCA World, developed by the authors, is an instructor-led platform designed to facilitate simultaneous movement through various activities or lessons. RILCA is not only the acronym for Research Institute for Languages and Cultures of Asia, where this project is being initiated, but also stands for ‘Redesign of Instruction for foreign Language and Communication Achievement,’ which is central to the authors’ goals. The RILCA World on Zinc Island is built on the multi-user online virtual world platform, which includes features for immersive, real-time collaboration and web-conferencing. The virtual world includes a co-working space on the first floor, study hall on the second floor, and a 360-degree interactive screen on the rooftop (Fig. 1). Task-related objects, such as slides, images, documents, a red rug for giving speeches, spotlights, benches, computers for searching internet resources from around the world, are also incorporated to aid students in connecting their virtual experiences to the real world. Figure 1 illustrates the locations where students engage in and practise their speech production. Through immersion in the virtual environment, participants navigate the RILCA World using customised avatars to explore different virtual locations and gather ideas to incorporate into their speaking tasks. Avatars are equipped with both audio- and text-based communication capabilities, and users can choose to send text-based chat messages locally, internationally, to a single recipient, or to multiple recipients.
Thai speaking tests
As part of the official Mahidol University-Thai Test for international students developed by the first author, the Thai Speaking Test was developed to assess the Thai-speaking proficiency of non-native Thai speakers. The test, detailed in Appendix 1, comprises two distinct sets of five questions administered as pre- and post-tests. The questions are specifically designed to reflect authentic communicative demands and real-life language tasks. The inclusion of different topics in the pre-test and post-test allows for a comprehensive evaluation of participants' overall language proficiency, rather than their ability to recall specific content. By avoiding repetition of topics, the test minimises the influence of memorisation or familiarity with the questions, enabling a more accurate assessment of participants’ ability to effectively communicate in diverse contexts. The tests’ format adhered to standardised test-style questions, as recommended by Hasnain and Halder (2021), ensuring consistency and comparability. Participants' responses were transcribed to facilitate a comparative analysis of pre- and post-test performance. Speaking performance was evaluated using a five-point scoring rubric that assessed pronunciation, fluency, accuracy, completeness, use of language, and time management (see Appendix 2). The total score, with a maximum of 30 points, determined the participants’ proficiency levels according to the ACTFL Proficiency Guidelines 2012 (American Council on the Teaching of Foreign Languages, 2012), as presented in Table 2.
The inter-rater reliability between the first and third authors, who served as content specialists and graded the speaking test, was established to be above 80% for each of the categories being graded. This level of agreement between the raters in each category is considered to be within an acceptable range, as per Hallgren (2012). To ensure the reliability of the test, a pilot study was conducted with two separate groups, one for the pre-test and another for the post-test. Data were collected from 20 students (10 per group) as part of the pilot study. However, the data from the pilot study was excluded from the final analysis. The results of the pilot study indicate that the inter-rater reliability values for the pre- and post-test in each category are .87 and .90, respectively. These reliability values, exceeding the acceptable level of reliability as per the standards established by George and Mallery (2010), demonstrate the consistency and agreement between the raters in evaluating participants' performance in each category.
Collaborative task
The ten tasks were developed with the aim of aligning with the learners' ability level and their limited exposure to the Thai outside of the classroom environment. To accomplish this objective, a set of five distinct types, namely comparing tasks, jigsaw tasks, sharing personal experience tasks, narrative tasks, and decision-making tasks, as outlined in Table 3 was created. The decision to incorporate these diverse task types was informed by pertinent literature (e.g., Hasnain & Halder, 2021) and rooted in several justifications. Primarily, the inclusion of a variety of task types enables a comprehensive assessment of the learners' language proficiency and their ability to apply language skills across different contextual frameworks. Each task type specifically targets certain language skills and competencies, thereby providing a more comprehensive and holistic view of the learners' overall language abilities. Furthermore, the selected task types were intentionally designed to reflect real-life language usage and authentic communicative demands. Tasks involving the sharing of firsthand experiences and decision-making were included to simulate situations that learners may encounter in their daily lives or future language interactions. This deliberate approach enhances the ecological validity of the assessment, ensuring that the tasks align with the learners' practical language needs and accurately reflect the linguistic challenges they are likely to face in real-world contexts.
In the initial stages of the project, which involve novice 3DVW users, comparing tasks were implemented as they were deemed to be relatively easy to manage and an appropriate choice (Peterson, 2009). Subsequently, the participants progressed to completing jigsaw tasks, which were designed to elicit task-based interaction and introduce low-frequency language items. Two sessions were devoted to personal experience-sharing tasks, while the last session involved administering narrative and decision-making tasks. The majority of these tasks were relevant to real world scenarios, rather than being pedagogical in nature.
To ensure the appropriateness of the tasks for the study's objectives and the learners' proficiency level, two experts with expertise in the Thai language and educational technology evaluated each of the ten tasks. The experts assessed the tasks based on three statements, using a three-point Likert scale (3 = good, 2 = fair, and 1 = poor). Inter-rater reliability for each task was measured using agreement percentages, which ranged from 72 to 89%, indicating a substantial level of agreement (McHugh, 2012). Based on the experts’ recommendation, the tasks were subsequently revised to address their suggestions and ensure their suitability.
The task-based approach implemented in this study draws on prior research by Ellis (2003), Guo and Möllering (2016), and Van den Branden (2012). The pedagogical sequence consisted of three distinct phases within the RILCA World platform: pre-task, during-task, and post-task. During the pre-task phase, the instructor introduced the topic of the day and provided an illustration of the task to be completed. The during-task phase allowed for participants to allocate ten to fifteen minutes for planning, discussion, and preparation of their performance. While participants were permitted to use short note-taking materials during their performance, it was not actively encouraged. Throughout the task performance, the teacher monitored the progress of each group or pair, rectified any errors, and provided guidance for improving sentence structure as parts of the formative assessment process. In the post-task phase, emphasis was placed on discussing frequent grammatical errors and encouraging students to accurately repeat task-related terms and reflect on their cognitive processes in relation to the learning experiences.
Procedure
The research design for this study was approved by the first author’s University Center for Ethical Reinforcement of Research. A total of forty eligible participants were provided with comprehensive information regarding the research methods, activities, and conditions. They were explicitly informed about the voluntary nature of participation and the potential impact on their academic or professional prospects. Over a 10-weeks period, participants were organised into pairs and small groups on a weekly basis for synchronous sessions, during which they engaged in tasks based on Table 3. These sessions took place in designated virtual classroom corners or participants’ preferred online locations. At the end of the speaking practice period, each pair or group convened on the red square rug, as illustrated in Fig. 2, to demonstrate their results. The synchronous experimental weeks encompassed a total of three hours of task performance per participant per week.
Prior to and following the implementation of the educational intervention, online pre- and post-tests were administered using the Voov and Zoom Could Meeting platforms to evaluate the effectiveness of learning in the virtual world. The assessments followed an interview-style format, with a trained researcher acting as the interlocutor. Each participant was allotted a ten-minute time frame to respond to the test item. Both the pre- and post-test were designed as parallel assessments, with a week allocated for administering the pre-test and another week for conducting the post-test. The scoring rubrics developed by the authors were utilised to evaluate the participants' performance in these tests.
Analysis
The dataset employed in this study consisted of audio recordings, each with durations spanning from one to five min, capturing the participants' oral performance on the Thai speaking test, encompassing both the pre- and post-test stages. These recordings underwent transcription and subsequent quantitative analysis to evaluate the growth in the participants' word fluency. The evaluation of fluency also included the measurement of accuracy, as comprehensibility is crucial as word count increases (Albino, 2017). Two Thai language experts were provided with the audio recordings, transcriptions of the oral output from forty participants, an assessment form containing rubrics for assigning scores ranging from 1 to 5 in each category. To ensure impartial outcomes, the mean score for each student was calculated by summing the points given by the two evaluators and dividing the sum accordingly.
Prior to selecting a specific method of data analysis, an assessment of the normality of the data distribution was conducted using IBM SPSS Statistics. The results of the Kolmogorov–Smirnov and Shapiro–Wilk tests yielded inconsistent findings. As illustrated in Table 4, both tests indicate a non-normal distribution (p > .05) at the.05 level of significance for pre-tests in all groups and post-test for Groups A and B. However, post-test for Group C suggest a normal distribution (p < .05). In light of these contradictory outcomes, the non-normally distributed data was analysed using the Wilcoxon signed-rank test to compare pre- and post-test scores within dependent groups, and the Kruskal–Wallis H test was used to evaluate whether there were statistically significant differences across independent groups.
Results
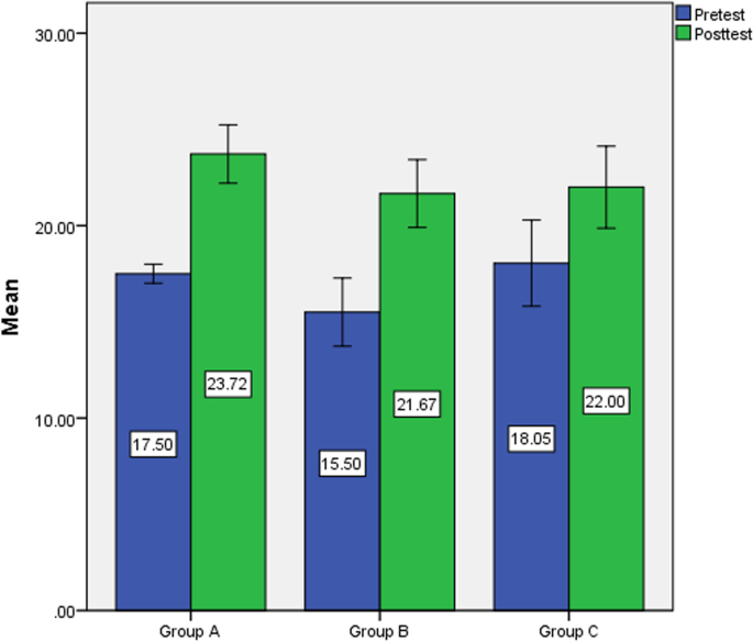
In this section, the findings of the study in relation to the research questions are presented. The first research question aimed to investigate the impact of using collaborative tasks on 3DVWs on the Thai-speaking proficiency of L2 learners. Figure 3 provides a visual representation of the results. The mean scores of the three groups on the Thai speaking test showed an improvement after the intervention compared to their pre-intervention scores. Specifically, the mean scores of the three post-tests were 23.72, 21.67, and 22.00, respectively. These results indicate that the learners achieved a proficiency level classified as ‘superior’ according to the ACTFL Proficiency Guidelines 2012.
The Wilcoxon Signed-Rank test was utilised to determine the difference between the pre- and post-test scores of the three groups, and the results are presented in Table 5. The results show that all groups demonstrated a significant difference between their pre- and post-test scores (Group A: z = − 3.627, p < .001; Groups B: z = − 2.905, p < .05; Group C: z = − 2.533, p < .05). Examination of the sum of the difference scores and the mean rank suggests that this disparity favours the post-test results. The eta square values calculated to determine the effect sizes from pre- to post-test for each group were .854 for Group A, .838 for Group B, and .801 for Group C. As the eta square value approaches 1, the magnitude of the effect becomes more pronounced (Sullivan & Feinn, 2012). The calculated values indicate a substantial magnitude of influence.
The data analysis for the second research question employed the non-parametric Kruskal–Wallis H test due to the non-normal distribution of the group means. As indicated in Table 6, there was no statistically significant difference observed in the pre-test scores among the three groups [\(\chi\)2(2) = 5.697; p = .058]. Similarly, the post-test scores also did not exhibit a significant difference [\(\chi\)2(2) = 3.892; p = .143]. These results suggest that collaborating on tasks in the RILCA World has a similar effect on Thai-speaking abilities, regardless of the students’ backgrounds. It is noteworthy that Group A obtained higher mean ranks in the Thai speaking test compared to the other groups.
Table 7 provides an overview of the linguistic components, including pronunciation, fluency, accuracy, completeness, use of language, and time management, and their significant differences between pre-test and post-test scores. The Wilcoxon signed-rank test results indicate that these variables exhibited statistically significant differences (p < .05) between the two test administrations. The mean ranks and sum of ranks further suggest that these differences can be attributed to the post-test scores. Specifically, pronunciation showed a significant difference between the pre-test and post-test scores (z = − 4.822, p < .001). Similarly, fluency (z = − 5.027, p < .001), accuracy (z = − 4.121, p < .001), completeness (z = − 3.942, p < .001), use of language (z = − 4.367, p < .001), and time management (z = − 3.788, p < .001) all demonstrated significant differences. These findings indicate that the participants' performance improved in terms of pronunciation, fluency, accuracy, completeness, use of language, and time management from the pre-test to the post-test.
Discussion
This study aimed to determine the impact of RILCA World on the oral proficiency of L2 learners in the context of Thai-speaking practices. Three distinct groups of Asian undergraduate students participated in the study, engaging in the same ten collaborative tasks as part of an intervention within the RILCA World platform. The subsequent outcomes, as determined through the utilization of the Wilcoxon Signed-Rank test (see Table 5) revealed that after learning in this virtual world, participants from all groups showed a substantial increase in their total score on the Thai speaking tests (RQ1). Table 6 also suggests that the integration of collaborative tasks within the RILCA World as an educational intervention yielded a positive impact on the participants’ Thai-speaking abilities, regardless of their linguistic and cultural backgrounds (RQ2).
The data analysis (see Table 7) indicated that the learners' speaking proficiency, particularly in terms of fluency, pronunciation completeness, and language use, improved significantly after the experiment was implemented. The collaborative tasks that focused on meaning forms appeared to contribute to this improvement, supporting Albino’s (2017) argument that learners tend to develop their speaking fluency by maximising their speed of speech production, increasing grammatical accuracy, elaborating on their utterances, and developing interactional language. These results suggest that the TBLT approach, supported by collaboration, can enhance speaking fluency.
The incorporation of 3DVWs, such as RILCA World, in the study design represents a noteworthy contribution to the field of language education. These environments offer authentic learning conditions that are challenging to replicate within traditional classroom settings (Dieterle & Clarke, 2009). In designing the study, careful consideration was given to the current state of traditional Thai classroom practices, which often adopt a teacher-centred approach that limits opportunities for students to engage in authentic and meaningful communication. Traditional Thai classroom practices present certain constraints that impede the development of practical language skills and provide limited exposure to real-life language use. Recognising these limitations, the use of RILCA World and its immersive virtual environments provided an alternative to conventional instructional methods. By leveraging the affordances of technology, a departure from traditional classroom practices was achieved, fostering a transformative learning experience. Within the virtual spaces of RILCA World, an emphasis was placed on promoting small group work, which facilitated collaborative learning and created abundant opportunities for language use (Coleman, 2002). Moreover, the learner-centred nature of the collaborative tasks in RILCA World empowered TFL students to independently tackle and resolve problems, granting them autonomy and agency in their learning process (Freiermuth, 2002). This shift towards learner autonomy and self-directed learning is particularly pertinent in the context of Thai language education, where students can greatly benefit from assuming an active role in their language acquisition.
The positive outcomes observed in this study highlight the recent and pioneering teaching innovation in the field of teaching TFL. These outcomes can be attributed to the deliberate implementation of collaborative strategies, guided by a comprehensive review of previous 3DVW studies (see Reisoğlu et al., 2017). Collaborative learning has consistently demonstrated its efficacy as a task principle in the context of TBLT in SL (Doughty & Long, 2003; Ortega & González-Lloret, 2015). Through engagement in collaborative tasks, learners are motivated to exchange and convey information in order to achieve a shared task objective. This process promotes active communication and fosters the development of TFL students’ speaking skills. Additionally, the use of 3DVWs, coupled with the integration of socialisation tools such as voice-based features, within the RILCA World platform facilitate authentic-like interactions, thereby enhancing learners’ conversational abilities. These virtual environments offered valuable opportunities for learners to engage in meaningful and realistic interactions, closely resembling authentic communicative contexts. By harnessing the technological affordances provided by these platforms, learners were actively involved in genuine conversational exchanges, resulting in improved communicative competence and language proficiency. This improvement is evident in the participants' enhanced performance across various linguistic components, including pronunciation, fluency, accuracy, completeness, use of language, and time management, as demonstrated by their progression from the pre-test to the post-test.
The results of this study align with the sociocultural SLA theory that the situations in which an L2 occurs positively influence the target language abilities of L2 learners (Lan, 2015; Lan et al., 2013). Therefore, incorporating the use of 3DVWs, such as RILCA World, into regular TFL curricula may provide L2 learners of Thai with additional opportunities to apply what they have learned in traditional classes to social interaction. Furthermore, it is essential to consider the unique learning needs and experiences of digital natives when designing and implementing language learning activities in virtual contexts.
In summary, this study provides novel insights within the realm of CALL by demonstrating the positive impact of using 3DVWs in enhancing L2 learners' speaking abilities. The investigation highlights the significance of embedding collaborative strategies while tailoring instructional approaches to accommodate the distinctive learning profile of L2 students when orchestrating language learning engagements within virtual contexts. These findings have implications for language educators and researchers who aim to improve the effectiveness of language learning programmes.
Conclusion and limitations
A central issue in L2 education concerns the design and implementation of collaborative tasks that contribute to the development of effective communicative competence while taking learners’ individual needs into account (Jauregi et al., 2011). The present study aimed to investigate the impact of RILCA World, a 3DVW, on L2 learners’ Thai-speaking practices. The results of the study indicate that the compilation of collaborative tasks established in RILCA World not only afforded insight into the task construction for virtual environments but also furnished L2 learners with avenues to engage in communicative activities beyond the conventional classroom setting. The analysis of the findings reveals that the affordances of RILCA World, such as immersive simulation and synchronous collaboration, offer a potential educational venue for instructors to incorporate real-world tasks into L2 learning that may be difficult to manage in a physical classroom, particularly during the global pandemic that has caused instructional disruptions. Moreover, the implementation of specific functions such as speak or call buttons in such a virtual environment can improve the speaking performance of undergraduate students and provide them with authentic contexts for engaging in task-based learning activities with their peers that correspond to their growing experiences.
However, it should be acknowledged that this study is limited in its scope, as only three groups of Asian undergraduate students participated in the research. To increase the external validity and applicability of the findings to other TFL settings, future studies should include a larger and more diverse sample of participants from different universities. Moreover, the lack of a control group in this study diminishes the internal validity, as it is not possible to establish a causal relationship between the outcome and the virtual environment without comparing the results to a group that did not participate in the intervention. Therefore, further research with a control group is needed to provide more convincing evidence of the effectiveness of using 3DVWs in TFL learning.
Availability of data and materials
The authors do not have permission from the organisation where the experiment was conducted to make the raw data or the tool available to anyone outside of that organisation.
Abbreviations
- 3DVW:
-
Three-dimensional virtual world
- ACTFL:
-
American Council on the Teaching of Foreign Languages
- F2F:
-
Face-to-face
- IM:
-
Instant messaging
- L2:
-
Second language
- RILCA:
-
Redesign of Instruction for foreign Language and Communication Achievement
- SL:
-
Second Life
- TBLT:
-
Task-based language teaching
- TFL:
-
Thai as a foreign language
References
Albino, G. (2017). Improving speaking fluency in a task-based language teaching approach: The case of EFL learners at PUNIV-Cazenga. SAGE Open, 7(2), 1–11. https://doi.org/10.1177/2158244017691077
American Council on the Teaching of Foreign Languages. (2012). ACTFL proficiency guidelines 2012. Retrieved 21 Nov 2022 from https://www.actfl.org/resources/actfl-proficiency-guidelines-2012
Canto, S., de Graaff, R., & Jauregi, K. (2014). Collaborative tasks for negotiation of intercultural meaning in virtual worlds and video-web communication. In M. González-Lloret & L. Ortega (Eds.), Technology-mediated TBLT: Researching technology and tasks (pp. 183–212). John Benjamins. https://doi.org/10.1075/tblt.6.07can
Canto, S., & Ondarra, K. J. (2017). Language learning effects through the integration of synchronous online communication: The case of video communication and Second Life. Language Learning in Higher Education, 7(1), 21–53. https://doi.org/10.1515/cercles-2017-0004
Castañeda, D. A. (2021). Improving conversational interactions with task-based activities in a Spanish as a second language class. Computer Assisted Language Learning, 34(8), 1154–1181. https://doi.org/10.1080/09588221.2019.1666149
Chen, J. C. (2016a). EFL learners’ strategy use during task-based interaction in Second Life. Australasian Journal of Educational Technology, 32(3), 1–17. https://doi.org/10.14742/ajet.2306
Chen, J. C. (2016b). The crossroads of English language learners, task-based instruction, and 3D multi-user virtual learning in Second life. Computers & Education, 102, 152–171. https://doi.org/10.1016/j.compedu.2016.08.004
Chen, J. C. (2018). The interplay of tasks, strategies and negotiations in second life. Computer Assisted Language Learning, 31(8), 960–986. https://doi.org/10.1080/09588221.2018.1466810
Chen, J. C. (2020). The effects of pre-task planning on EFL learners’ oral performance in a 3D multi-user virtual environment. ReCALL, 32(3), 232–249. https://doi.org/10.1017/S0958344020000026
Chen, J. C., & Kent, S. (2020). Task engagement, learner motivation and avatar identities of struggling English language learners in the 3D virtual world. System, 88, 1–14. https://doi.org/10.1016/j.system.2019.102168
Cho, Y. H., & Lim, K. Y. T. (2017). Effectiveness of collaborative learning with 3D virtual worlds. British Journal of Educational Technology, 48(1), 202–211. https://doi.org/10.1111/bjet.12356
Chotivachira, B. (2022). Factors affect the efficiency of Thai language teaching and learning as a foreign language undergraduate level of the Mandalay University of Foreign Language (MUFL) Republic of the Union of Myanmar. Journal of Educational Naresuan University, 24(2), 170–182.
Coleman, D. W. (2002). Guest editorial: Simulation and computer-assisted language learning. Simulation & Gaming, 33(2), 179–180. https://doi.org/10.1177/104687810233200
Cooke-Plagwitz, J. (2008). New directions in CALL: An objective introduction to Second Life. CALICO Journal, 25(3), 547–557. https://doi.org/10.1558/cj.v25i3.547-557
Creswell, J. W., & Creswell, J. D. (2018). Research design: Qualitative, quantitative & mixed methods approaches (5th ed.). Sage.
Dieterle, E., & Clarke, J. (2009). Multi-user virtual environments for teaching and learning. In M. Pagani (Ed.), Encyclopedia of multimedia technology and networking (2nd ed., pp. 1033–1040). Idea Group.
Dörnyei, Z. (2010). Questionnaires in second language research: Construction, administration, and processing. Routledge.
Doughty, C. J., & Long, M. H. (2003). Optimal psycholinguistic environments for distance foreign language learning. Language Learning & Technology, 7(3), 50–75.
Ellis, R. (2000). Task-based research and language pedagogy. Language Teaching Research, 4(3), 193–220. https://doi.org/10.1191/136216800125069
Ellis, R. (2003). Task-based language learning and teaching. Oxford University Press.
Freiermuth, M. (2002). Connecting with computer science students by building bridges. Simulation & Gaming, 3(3), 299–315. https://doi.org/10.1177/104687810203300
Garrido-Iñigo, P., & Rodríguez-Moreno, F. (2015). The reality of virtual worlds: Pros and cons of their application to foreign language teaching. Interactive Learning Environments, 23(4), 453–470. https://doi.org/10.1080/10494820.2013.788034
George, D., & Mallery, P. (2010). SPSS for Windows step by step: A simple guide and reference, 17.0 update (10th ed.). Allyn & Bacon.
Gerhard, M., Moore, D., & Hobbs, D. (2004). Embodiment and copresence in collaborative interfaces. Human-Computer Studies, 61(4), 453–480. https://doi.org/10.1016/j.ijhcs.2003.12.014
Ghanbarzadeh, R., & Ghapanchi, A. H. (2021). Uncovering educational outcomes deriving from students’ acceptance and involvement with 3D virtual worlds. Education and Information Technologies, 26(1), 311–337. https://doi.org/10.1007/s10639-020-10272-7
Guo, S., & Möllering, M. (2016). The implementation of task-based teaching in an online Chinese class through web conferencing. System, 62, 26–38. https://doi.org/10.1016/j.system.2016.07.003
Hallgren, K. A. (2012). Computing inter-rater reliability for observational data: An overview and tutorial. Tutorials in Quantitative Methods for Psychology, 8(1), 23–34. https://doi.org/10.20982/tqmp.08.1.p023
Hasnain, S., & Halder, S. (2021). Task-based language teaching approach for improving speaking fluency: Case study of trainee teachers in West Bengal. World Futures. https://doi.org/10.1080/02604027.2021.1996189
Henderson, M., Huang, H., Grant, S., & Henderson, L. (2009, December 6–9). Language acquisition in Second Life: Improving self-efficacy beliefs [Paper presentation]. ASCILITE 2009 (pp. 464–474), Auckland, New Zealand.
Hislope, K. (2008). Language learning in a virtual world. The International Journal of Learning, 15(11), 51–58. https://doi.org/10.18848/1447-9494/CGP/V15I11/46010
Ibáñez, M. B., García Rueda, J. J., Maroto, D., & Delgado Kloos, C. (2013). Collaborative learning in multi-user virtual environments. Journal of Network and Computer Applications, 36(6), 1566–1576. https://doi.org/10.1016/j.jnca.2012.12.027
Jarmon, L., Traphagan, T., Mayrath, M., & Trivedi, A. (2009). Virtual world teaching, experiential learning, and assessment: An interdisciplinary communication course in Second Life. Computers & Education, 53(1), 169–182. https://doi.org/10.1016/j.compedu.2009.01.010
Jauregi, K., Canto, S., de Graaff, R., Koenraad, T., & Moonen, M. (2011). Verbal interaction in second life: Towards a pedagogic framework for task design. Computer Assisted Language Learning, 24(1), 77–101. https://doi.org/10.1080/09588221.2010.538699
Jee, M. J. (2014). From first life to second life: Evaluating task-based language learning in a new environment. Canadian Journal of Learning and Technology, 40(1), 1–15. https://doi.org/10.21432/T2F595
Kern, R. G. (2000). Literacy and language teaching. Oxford University Press.
Kozlova, I., & Priven, D. (2015). ESL teacher training in 3D virtual worlds. Language Learning & Technology, 19(1), 83–101.
Kruk, M. (2021). Variation in experiencing boredom during self-directed learning in a virtual world: The case of one English major. Australian Review of Applied Linguistics, 44(3), 289–308. https://doi.org/10.1075/aral.19050.kru
Kuriscak, L. M., & Luke, C. L. (2009). Language learner attitudes toward virtual worlds: An investigation of Second Life. In L. Lomicka & G. Lord (Eds.), The next generation: Social networking and online collaboration in foreign language learning (pp. 173–198). CALICO.
Lan, Y.-J. (2015). Contextual EFL learning in a 3D virtual environment. Language Learning & Technology, 19(2), 16–31.
Lan, Y.-J., Kan, Y.-H., Hsiao, I. Y. T., Yang, S. J. H., & Chang, K.-E. (2013). Designing interaction tasks in Second Life for Chinese as a foreign language learners: A preliminary exploration. Australasian Journal of Educational Technology, 29(2), 184–202. https://doi.org/10.14742/ajet.144
Lan, Y.-J., Kan, Y.-H., Sung, Y.-T., & Chang, K.-E. (2016). Oral-performance language tasks for CSL beginners in Second Life. Language Learning & Technology, 20(3), 60–79.
Lan, Y.-J., & Liao, C.-Y. (2018). The effects of 3D immersion on CSL students’ listening comprehension. Innovation in Language Learning and Teaching, 12(1), 35–46. https://doi.org/10.1080/17501229.2018.1418242
Lan, Y.-J., Lyu, B.-N., & Chin, C. K. (2019). Does a 3D immersive experience enhance Mandarin writing by CSL students. Language Learning & Technology, 23(2), 125–144.
Lantolf, J. P., & Thorne, S. L. (2006). Sociocultural theory and the genesis of second language development. Oxford University Press.
Livingstone, D., Kemp, J., & Edgar, E. (2008). From multi-user virtual environment to 3D virtual learning environment. ALT-J: Research in Learning Technology, 16(3), 139–1150. https://doi.org/10.1080/09687760802526707
McHugh, M. L. (2012). Interrater reliability: The kappa statistic. Biochemia Medica, 22(3), 276–282.
Melchor-Couto, S. (2018). Virtual world anonymity and foreign language oral interaction. ReCALL, 30(2), 232–249. https://doi.org/10.1017/S0958344017000398
Milton, J., Jonsen, S., Hirst, S., & Lindenburn, S. (2012). Foreign language vocabulary development through activities in an online 3D environment. The Language Learning Journal, 40(1), 99–112. https://doi.org/10.1080/09571736.2012.658229
Namaziandost, E., Hashemifardnia, A., & Shafiee, S. (2019). The impact of opinion-gap, reasoning-gap, and information-gap tasks on EFL learners’ speaking fluency. Cogent Social Sciences, 5(1), 1–16. https://doi.org/10.1080/23311886.2019.1630150
Ortega, L., & González-Lloret, M. (2015). Staking out the territory of technology-mediated TBLT. In M. Bygate (Ed.), Domains and directions in the development of TBLT: A decade of plenaries from the international conference (pp. 59–86). John Benjamins.
Peterson, M. (2009). Learner interaction in synchronous CMC: A sociocultural perspective. Computer Assisted Language Learning, 22(4), 303–321. https://doi.org/10.1080/09588220903184690
Peterson, M. (2010). Learner participation patterns and strategy use in Second Life: An exploratory case study. ReCALL, 22(3), 273–292. https://doi.org/10.1017/S0958344010000169
Peterson, M. (2012). EFL learner collaborative interaction in Second Life. ReCALL, 24(1), 20–39. https://doi.org/10.1017/S0958344011000279
Phechtburi, N., & Punkhoom, W. (2017). Thai language teaching in Cambodia. RMUTSB Academic Journal (Humanities and Social Sciences), 2(1), 57–68.
Plaengsorn, R. (2014). The teaching of Thai speaking skills to foreign learners through a task-based learning approach. Sripatum Review of Humanities and Social Sciences, 14(2), 102–110.
Reisoğlu, I., Topu, B., Yılmaz, R., Karakuş Yılmaz, T., & Göktaş, Y. (2017). 3D virtual learning environments in education: A meta-review. Asia Pacific Education Review, 18(1), 81–100. https://doi.org/10.1007/s12564-016-9467-0
Richards, J. C., & Rogers, T. S. (2014). Approaches and methods in language teaching (3rd ed.). Cambridge University Press.
Sathiansukon, S. (2011). Teaching Thai to Chinese Students: Condition, problems and solutions. Humanities Journal, 18(1), 127–140.
Scrivener, J. (2011). Learning teaching: The essential guide to English language education (3rd ed.). Macmillan Education.
Sullivan, G. M., & Feinn, R. (2012). Using effect size—or why the p value is not enough. Journal of Graduate Medical Education, 4(3), 279–282. https://doi.org/10.4300/JGME-D-12-00156.1
Swain, M. (1995). Three functions of output in second language learning. In G. Cook & B. Seidlhofer (Eds.), Principle and practice in applied linguistics: Studies in honour of H.G. Widdowson (pp. 125–144). Oxford University Press.
Thorne, S. L., & Black, R. W. (2007). Language and literacy development in computer-mediated contexts and communities. Annual Review of Applied Linguistics, 27, 133–160. https://doi.org/10.1017/S0267190508070074
Van den Branden, K. (2012). Task-based language education. In A. Burns & J. C. Richards (Eds.), The Cambridge guide to pedagogy and practice in second language teaching (pp. 132–139). Cambridge University Press.
Varli, O. (2013). An exploration of 3D virtual worlds through ESL/EFL teachers’ perspectives in Second Life. In C. Meskill (Ed.), Online teaching and learning: Sociocultural perspectives (pp. 61–76). Bloomsbury Academic. https://doi.org/10.5040/9781472542007
Vygotsky, L. S. (1978). Mind in society: The development of higher psychological processes. Harvard University Press.
Wehner, A. K., Gump, A. W., & Downey, S. (2011). The effects of Second Life on the motivation of undergraduate students learning a foreign language. Computer Assisted Language Learning, 24(3), 277–289. https://doi.org/10.1080/09588221.2010.551757
Xie, Y., Chen, Y., & Ryder, L. H. (2021). Effects of using mobile-based virtual reality on Chinese L2 students’ oral proficiency. Computer Assisted Language Learning, 34(3), 225–245. https://doi.org/10.1080/09588221.2019.1604551
Yamazaki, K. (2018). Computer-assisted learning of communication (CALC): A case study of Japanese learning in a 3D virtual world. ReCALL, 30(2), 214–231. https://doi.org/10.1017/S0958344017000350
Funding
This project is funded by National Research Council of Thailand (NRCT) and Mahidol University (Grant Number: N42A650353).
Author information
Authors and Affiliations
Contributions
Authors WW, RK, and PT pivoted the study and wrote the initial draft. Authors NJ and KW made necessary corrections, while author PB performed statistical calculations. Author WW served as a mentor and provided finalisation of the draft for submission. All authors read and approved the final manuscript.
Corresponding author
Ethics declarations
Ethics approval and consent to participate
All participants in data collection were asked, and provided, consent for the use of statements made before experiments.
Competing interests
The authors declare that they have no competing interests.
Additional information
Publisher's Note
Springer Nature remains neutral with regard to jurisdictional claims in published maps and institutional affiliations.
Appendices
Appendix 1: Thai speaking tests
Set A (Pre-test)
-
1.
Could you please share what you and your family are currently doing, where you are, and how you are doing?
-
2.
In what ways has COVID-19 affected you both directly and indirectly?
-
3.
What is your opinion on online learning and teaching systems?
-
4.
How would you behave if you were to go to a place that is at risk of COVID-19 transmission without prior knowledge?
-
5.
If you were given the opportunity to participate in a COVID-19 vaccine trial without knowledge of its efficacy, what would be your decision and why?
Set B (Post-test)
-
1.
Where is your place of birth and what are some important places there?
-
2.
Have you always lived in your place of birth, or have you moved elsewhere? (If you have not moved, why not? If you have moved, where did you move to and why?)
-
3.
Please describe your favourite teacher.
-
4.
What do you think about the phrase 'A good teacher is one who has knowledge and is dedicated to teaching'?
-
5.
In the era of the internet, do you think teachers are still important and, if so, in what ways?
Appendix 2: Scoring rubrics
Item | 5 | 4 | 3 | 2 | 1 |
|---|---|---|---|---|---|
Pronunciation | Pronounce accurately according to the phonetic system more than 80% | Pronounce accurately according to the phonetic system between 61 and 80% | Pronounce accurately according to the phonetic system between 41 and 60% | Pronounce accurately according to the phonetic system between 21 and 40% | Pronounce accurately according to the phonetic system between 1 and 20% |
Fluency | Able to respond to conversation immediately without having to pause more than 80% | Able to respond to conversation immediately without having to pause between 61 and 80% | Able to respond to conversation immediately without having to pause between 41 and 60% | Able to respond to conversation immediately without having to pause between 21 and 40% | Able to respond to conversation immediately without having to pause between 1 and 20% |
Accuracy | Use sentence structures correctly according to the principles of language more than 80% | Use sentence structures correctly according to the principles of language between 61 and 80% | Use sentence structures correctly according to the principles of language between 41 and 60% | Use sentence structures correctly according to the principles of language between 21 and 40% | Use sentence structures correctly according to the principles of language between 1 and 20% |
Completeness | Able to speak in complete sentences more than 80% | Able to speak in complete sentences between 61 and 80% | Able to speak in complete sentences between 41 and 60% | Able to speak in complete sentences between 21 and 40% | Able to speak in complete sentences between 1 and 20% |
Use of language | Able to use idiomatic expressions or phrases close to native speakers more than 80% | Able to use idiomatic expressions or phrases close to native speakers between 61 and 80% | Able to use idiomatic expressions or phrases close to native speakers between 41 and 60% | Able to use idiomatic expressions or phrases close to native speakers between 21 and 40% | Able to use idiomatic expressions or phrases close to native speakers between 1 and 20% |
Time management | Speak for the designated amount of time, which is at least 2 min | Speak within the range of 1.46–1.59 min | Speak within the range of 1.01–1.45 min | Speak within the range of 45 s to 1 min | Speak for no longer than 45 s |
Rights and permissions
Open Access This article is licensed under a Creative Commons Attribution 4.0 International License, which permits use, sharing, adaptation, distribution and reproduction in any medium or format, as long as you give appropriate credit to the original author(s) and the source, provide a link to the Creative Commons licence, and indicate if changes were made. The images or other third party material in this article are included in the article's Creative Commons licence, unless indicated otherwise in a credit line to the material. If material is not included in the article's Creative Commons licence and your intended use is not permitted by statutory regulation or exceeds the permitted use, you will need to obtain permission directly from the copyright holder. To view a copy of this licence, visit http://creativecommons.org/licenses/by/4.0/.
About this article
Cite this article
Wiboolyasarin, W., Jinowat, N., Wiboolyasarin, K. et al. Enhancing L2 speaking proficiency through collaborative tasks in RILCA world: the case of East Asian learners. Asian. J. Second. Foreign. Lang. Educ. 8, 37 (2023). https://doi.org/10.1186/s40862-023-00209-1
Received:
Accepted:
Published:
DOI: https://doi.org/10.1186/s40862-023-00209-1


